#LC219. 存在重复元素 II

存在重复元素 II

你好,同学。今天我们要一起攻克的是一道非常实用的基础算法题。在 NOI 竞赛中,这属于“数据结构基础”范畴,主要考察你对散列表(哈希表)以及滑动窗口思想的综合运用。

这道题在 LeetCode 上叫《存在重复元素 II》,但在竞赛语境下,它本质上是一个带距离约束的动态查找问题


一、 预备知识点

  1. 散列表(Hash Table):在 C++ 竞赛中,通常使用 std::unordered_map。它能让我们以接近 O(1)O(1) 的时间复杂度查找某个数值是否出现过。
  2. 滑动窗口(Sliding Window)的思想:理解 ijk|i - j| \le k 意味着我们只需要关注当前下标前 kk 个范围内的元素。
  3. 数值离散化/哈希思想:当数值范围(如 109-10^910910^9)远大于数组长度(10510^5)时,直接开数组计数会爆内存,必须使用哈希表。

二、 题目描述 (NOI 竞赛风格)

题目名称:存在重复元素 II (Contains Duplicate II)

【问题描述】 给定一个长度为 nn 的整数数组 AA 和一个整数 kk。 判断数组中是否存在两个不同的下标 iijj,使得 A[i]=A[j]A[i] = A[j] 且满足 ijk|i - j| \le k。 如果存在,输出 YES;否则,输出 NO

【输入格式】 第一行包含两个正整数 nnkk。 第二行包含 nn 个以空格分隔的整数,表示数组 AA 的元素。

【输出格式】 输出一个字符串 YESNO

【样例 1 输入】

4 3
1 2 3 1

【样例 1 输出】

YES

【样例 2 输入】

6 3
1 2 3 1 2 3

【样例 2 输出】

NO

【数据规模与约定】

  • 1n1051 \le n \le 10^5
  • 0k1050 \le k \le 10^5
  • 109A[i]109-10^9 \le A[i] \le 10^9

三、 启发式引导:草稿纸上的推理过程

请拿出草稿纸,我们画图来寻找最高效的方法:

第一步:暴力思维及其瓶颈

思考: 如果我们枚举每一对 (i,j)(i, j),判断 A[i]==A[j]A[i] == A[j] 且距离 k\le k

  • 计算: 总共有 n2n^2 对,哪怕只检查距离 kk 以内的,计算量也是 O(nk)O(n \cdot k)
  • 瓶颈:n=105,k=105n=10^5, k=10^5 时,nk=1010n \cdot k = 10^{10},这超出了 1 秒运算限制(约 10810^8 次)。我们需要一种只遍历一遍 O(n)O(n) 的方法。

第二步:寻找“记忆”策略

思考: 当我们走到下标 ii 时,我们最想知道什么?

  • 核心: 我们想知道:“之前出现过的 A[i]A[i],最近的一次在哪里?”
  • 推演: 假设数值 VV 上一次出现的下标是 last_pos[V]
    • 如果 i - last_pos[V] <= k,那么我们就找到了!
    • 如果不满足,或者之前没出现过,我们就更新 last_pos[V] = i,继续往后走。

第三步:选择合适的数据结构

思考: 数组元素值达到 10910^9,我们不能开 int last_pos[1000000000]

  • 方案: 使用 unordered_map<int, int>。其中 Key 存数值,ValueValue 存它最近一次出现的下标。

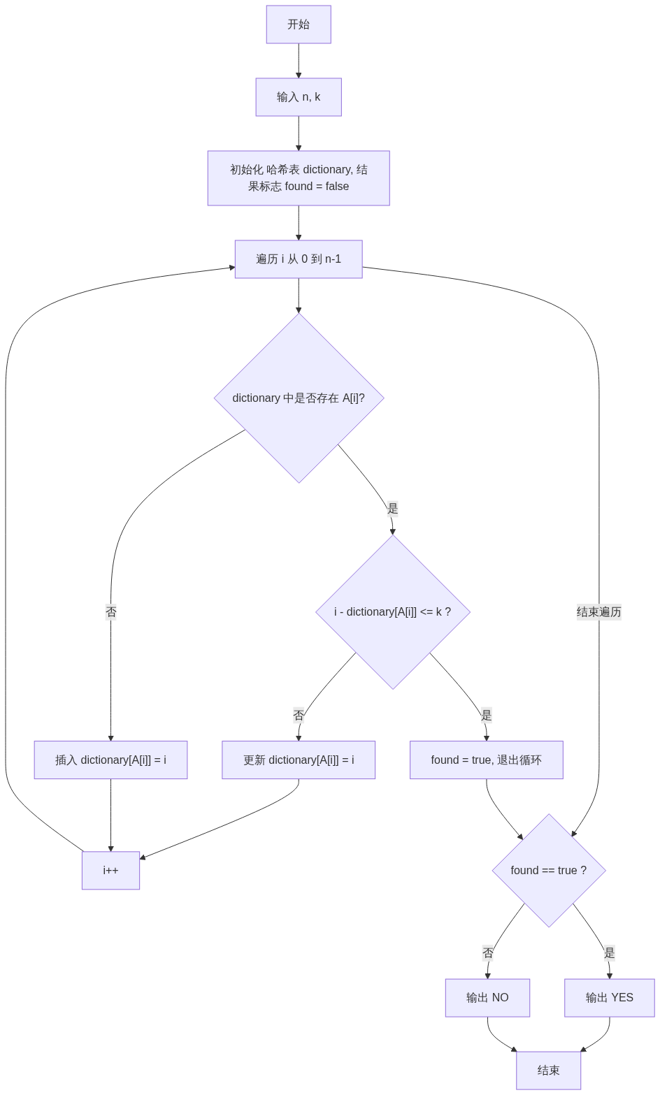
四、 算法逻辑流程图

请根据此流程图在脑中构建代码逻辑:

graph TD
    A[开始] --> B["输入 n, k"]
    B --> C["初始化 哈希表 dictionary, 结果标志 found = false"]
    C --> D["遍历 i 从 0 到 n-1"]
    D --> E{"dictionary 中是否存在 A[i]?"}
    E -- 是 --> F{"i - dictionary[A[i]] <= k ?"}
    F -- 是 --> G["found = true, 退出循环"]
    F -- 否 --> H["更新 dictionary[A[i]] = i"]
    E -- 否 --> I["插入 dictionary[A[i]] = i"]
    H --> J["i++"]
    I --> J
    J --> D
    D -- 结束遍历 --> K{"found == true ?"}
    G --> K
    K -- 是 --> L[输出 YES]
    K -- 否 --> M[输出 NO]
    L --> N[结束]
    M --> N[结束]

五 : 时间与空间复杂度分析

  1. 时间复杂度分析
    • 我们只对数组进行了一次遍历,复杂度为 O(n)O(n)
    • 哈希表(unordered_map)的插入和查找平均复杂度为 O(1)O(1)
    • 总结:总复杂度为 O(n)O(n)。在 10510^5 的数据下,运行速度极快。
  2. 空间复杂度分析
    • 最坏情况下(数组中没有重复元素),哈希表需要存储 nn 个键值对。
    • 总结:空间复杂度为 O(n)O(n)。对于 10510^5 的数据,内存占用约数 MB,远低于 NOI 规定的 128MB 或 256MB。

时间复杂度优化建议:

在 NOI 竞赛中,如果发现 unordered_map 的常数较大导致超时(某些测试点会故意构造哈希冲突),可以考虑:

  1. 预分配空间dict.reserve(100005); 减少动态扩容。
  2. 手写哈希或离散化:如果数据极其刁钻,可以使用“排序+去重”的离散化方法,将 O(n)O(n) 变为 O(nlogn)O(n \log n),虽然慢一点但更稳定。

六、 总结:读题时的关键词

在竞赛中识别此类题型的关键词:

  1. “是否存在两个下标”:暗示查找问题。
  2. A[i]=A[j]A[i] = A[j]:数值匹配,通常需要哈希表或排序。
  3. ijk|i - j| \le k:局部/距离约束,通常联想到滑动窗口或记录“最后一次出现位置”。
  4. 数据范围 10910^9:排除掉直接开计数数组的可能性,必须用哈希表或离散化。

教练点评: 这道题是理解“空间换时间”的极佳案例。通过哈希表记录位置,我们把一个原本需要嵌套循环的搜索问题,降维成了一次线性扫描。在草稿纸上,你要习惯于记录“状态的更新”,这比单纯的模拟移动更有利于写出无 bug 的代码。加油!